精密分壓器|交直流分壓器|精密數字分壓器
本文主要介紹了精密分壓器及其功能特點。武漢合眾電氣生產的FRC系列精密分壓器深受用戶好評,暢銷全國。
精密分壓器作為高電壓測量之理想設備,主要用于電力系統及電氣電子設備制造部門測量工頻交流高電壓和直流高電壓。FRC系列精密分壓器由高壓分壓器和低壓顯示表兩部分組成,兩者采用配套電纜連接使用。
武漢合眾電氣研發生產的FRC系列精密分壓器采用精密高壓薄膜電容和精密高壓玻璃釉電阻進行信號采集,內部填充材料采用國外進口,使結構小,重量輕,自身局放小,FRC系列精密分壓器通過儀表線與高壓測量端相連,是測量交、直流高壓電壓的良好產品,FRC系列精密分壓器可實現遠距離清晰讀數,使用安全、方便,并且采用特殊的屏蔽技術,減少高壓對示值的影響,從而實現高穩定度,高線性度。FRC系列精密分壓器(50kv交直流分壓器,100kv交直流分壓器,150kv交直流分壓器,200kv交直流數字分壓器)。
FRC系列精密分壓器又稱交直流數字高壓分壓器、交直流分壓器、數字分壓器、高壓分壓器、交直流高壓分壓器及數字高壓分壓器,武漢合眾電氣生產的FRC系列精密分壓器用于電力系統工頻交、直流高電壓試驗,FRC系列精密分壓器電壓等級為50kv、100kv、150kv及200kv,交直流數字分壓器由高壓分壓器和低壓顯示表兩部分組成,并用配套電纜連接使用。
精密分壓器作為高電壓測量之理想設備,主要用于電力系統及電氣電子設備制造部門測量工頻交流高電壓和直流高電壓。FRC系列精密分壓器由高壓分壓器和低壓顯示表兩部分組成,兩者采用配套電纜連接使用。
武漢合眾電氣研發生產的FRC系列精密分壓器采用精密高壓薄膜電容和精密高壓玻璃釉電阻進行信號采集,內部填充材料采用國外進口,使結構小,重量輕,自身局放小,FRC系列精密分壓器通過儀表線與高壓測量端相連,是測量交、直流高壓電壓的良好產品,FRC系列精密分壓器可實現遠距離清晰讀數,使用安全、方便,并且采用特殊的屏蔽技術,減少高壓對示值的影響,從而實現高穩定度,高線性度。FRC系列精密分壓器(50kv交直流分壓器,100kv交直流分壓器,150kv交直流分壓器,200kv交直流數字分壓器)。
FRC系列精密分壓器又稱交直流數字高壓分壓器、交直流分壓器、數字分壓器、高壓分壓器、交直流高壓分壓器及數字高壓分壓器,武漢合眾電氣生產的FRC系列精密分壓器用于電力系統工頻交、直流高電壓試驗,FRC系列精密分壓器電壓等級為50kv、100kv、150kv及200kv,交直流數字分壓器由高壓分壓器和低壓顯示表兩部分組成,并用配套電纜連接使用。
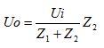
FRC系列精密分壓器采用阻容分壓法測量高壓交直流,如圖1所示。左側是高壓部分,采用阻容分壓電路,由阻抗Z1和Z2兩部分組成。高壓Ui從上端均壓球處輸入,從阻抗Z2處輸出低壓取樣信號Uo;右側是低壓顯示表,用于處理低壓取樣信號Uo。低壓取樣信號Uo經整流濾波放大處理后送入低壓顯示表顯示。高壓Ui和Uo關系式如公式(1)所示:
相關設備推薦:RCF阻容分壓器
- 上一篇: 用萬用表準確查找電纜電線內部斷點
- 下一篇: 電纜故障定位儀|地下電纜故障定位儀